Surprise Me!
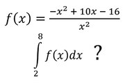
1S Fonction Limite fraction rationnelle
2013-11-19
28
Dailymotion
Please enable JavaScript to view the
comments powered by Disqus.
Related Videos
1ère S Limite fraction rationnelle, signe du polynôme
1S Fonction DS Limites fractions
1S Fonction Etude fraction avec signe d'un second degré
Correction Exercice 4 Partie C Sujet Jour 1 Amérique du Nord.Notions: étude de fonction, limite, intégrale, discriminant, polynôme de degré 2.#fonction #limite #integrales
1S Fonction Etude de la fonction 1/(x^2+1)
1ère S Tableau de variation d'une fraction rationnelle
Calcul d'une intégrale d'une fonction rationnelle - Terminale
1ère S Asymptotes d'une fraction rationnelle
Integration des fonctions rationnelles
Dérivée d'une fonction rationnelle et équation réduite d'une tangente à la courbe - 1re
Buy Now on CodeCanyon