Surprise Me!
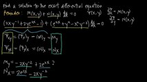
Lec05 - Exact Differential Equations
2015-01-10
2
Dailymotion
Please enable JavaScript to view the
comments powered by Disqus.
Related Videos
exact differential equations
How to solve exact differential equations
How to solve exact differential equations mathematics
Differential equations - Differential Equations
Differential equations - Order and Degree of the Differential Equations
Differential equations - Methods of Solving First Order First Degree Differential Equations
Differential equations - Formation of Differential Equations
Differential equations - Homogenous Differential Equations and Homogenous Functions
Differential Equations - Linear differential equation
Partial Differential Equations Lecture #15 Step to Solve Homogeneous Linear Differential Equation
Buy Now on CodeCanyon