Surprise Me!
Working-of-Moving-Coil-Galvanometer
2015-02-08
331
Dailymotion
watch this and share to your friends like our page www.facebook.com/medvidnew
Please enable JavaScript to view the
comments powered by Disqus.
Related Videos
Moving Coil Galvanometer
How Ignition Coil Works? Working of Ignition Coil Explained with 3D Animation
🧲 “Inductor Coil — The Hidden Power Behind Electricity!”#Engineering#Electronics#Physics#Learning
Books Electrical Engineering basics electronics tutorial vocational education neck Elektrotekhnika
Books ELECTRONICS Tutorial 2 ed Ispra added Vocational education neck Elektronnaya tekhnika
3D Animation full Tutorial _ Rigid body physics in Blender 2.8
Flash Animation Tutorial #11_ Physics and Secondary motion
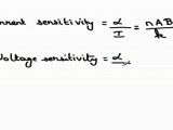
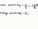
FSc Physics Book2, CH 14, LEC 9: Galvanometer
Finger Coiling Tutorial || Defined Curly COILS Puff on Natural Hair
Is magnetism important for NEET? How many questions are asked from magnetism in NEET? Is moving charges and magnetism important for NEET? What is the weightage of Physics in NEET? How do you score 120 in Physics in NEET?
Buy Now on CodeCanyon