Surprise Me!
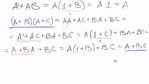
Digital Logic - Boolean Algebra (SOP)
2015-07-25
8
Dailymotion
Digital Logic - Boolean Algebra (SOP)
Please enable JavaScript to view the
comments powered by Disqus.
Related Videos
4 - বুলিয়ান অ্যালজেবরা Boolean expression Boolean algebra(1)
1 - Boolean Algebra
Boolean algebra #25: DeMorgan's theorem - examples (continued)
Google Doodle 2 November 2015 200 Years Boolean Algebra
Boolean algebra #2: Basic problems
Read From Boolean Logic to Switching Circuits and Automata: Towards Modern Information Technology
youtube boolean logic and array formula
CS09 Boolean Algebra Part 1 Logical Operations
MINTERMS AND MAXTERMS BOOLEAN ALGEBRA (IN HINDI)
Download Introduction to Boolean Algebras Ebook {EPUB} {PDF} FB2
Buy Now on CodeCanyon