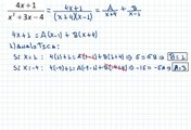
Vídeo que muestra la descomposición de una fracción polinómica en fracciones simples, se utiliza principalmente en la transformada inversa de Laplace y en cálculo integral. El caso concreto de esta descomposición es el que se da con raíces múltiples en el denominador de la fracción polinómica.
