Surprise Me!
Calcolo dell'Ora con Satelliti GPS al INRiM
2016-03-10
2
Dailymotion
Please enable JavaScript to view the
comments powered by Disqus.
Related Videos
Galileo, lanciati altri 4 satelliti. Completato il Gps europeo
Guyana: lanciati due satelliti per il "GPS europeo"
GPS Tracker Murah Untuk Mobil & Motor, Alat Pelacak Kendaraan (GPS Tracker Mobil, GPS Tracker Motor, GPS Tracker Alat Berat, GPS Tracker Truk)
GPS Garmin - Hướng dẫn cập nhật phần mềm cho GPS Garmin - Cách làm tăng độ chính xác của GPS - Hướng dẫn sử dụng GPS
Considering a new GPS, Buying a GPS, download voices for GPS
2014 New Win 8 UI Design Ouku 7-Inch Double-DIN In Dash Car DVD Radio Stereo Player Head Deck Touchscreen LCD Monitor with DVD/CD/MP3/MP4/USB/SD/AMFM/RDS/Bluetooth and GPS Navigation Rotate Menu HD:800*480 LCD Free GPS Antenna+Free Official GPS Map Updata
Ripetizzioni Ep11 Calcolo delle probabilità
Regole per il calcolo dei limiti
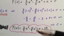
Calcolo di un integrale indefinito e della primitiva che nel punto -1 assume valore zero
Calcolo dell'area di una regione finita di piano delimitata da due curve
Buy Now on CodeCanyon