Surprise Me!
Il punto di Franco Capodaglio sul valore della Coppa
2019-12-20
878
Dailymotion
Please enable JavaScript to view the
comments powered by Disqus.
Related Videos
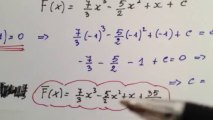
Calcolo di un integrale indefinito e della primitiva che nel punto -1 assume valore zero
Pomezia, il progetto a scuola sul valore del mare e della pesca sostenibile
Quanto può fare la differenza il mercato di gennaio per la stagione della Lazio? ( Franco Capodaglio)
Riflettendo con Andrea Romeo su The Zone of Interest e sul valore della Memoria
ESG Rewards 2025 e Talk&In, focus sul valore della conoscenza
Piazza di Siena, dentro il campo della Coppa delle Nazioni: il punto di vista di cavallo e cavaliere
Berrettini e Cobolli, scambi sul centrale prima della semifinale di Coppa Davis
Una chiacchierata con Franco Mussida sul nuovo album “Il pianeta della musica e il viaggio di Iòtu" (Parte 2)
Reggio Calabria intervista all'Arch. Franco Purini sul futuro della Collina di Pentimele
Una chiacchierata con Franco Mussida sul nuovo album “Il pianeta della musica e il viaggio di Iòtu" (Parte 1)
Buy Now on CodeCanyon