Surprise Me!
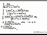
Indefinite Integrals - Reduction formula
2011-08-17
1
Dailymotion
Practice questions for Indefinite Integrals
Please enable JavaScript to view the
comments powered by Disqus.
Related Videos
Loop integrals, Hodge structures and differential equations
AudioBook Applications of Lie Groups to Difference Equations (Differential and Integral Equations
Class 10 Maths Pair of Linear Equations in Two Variables Introduction | Class 10 Maths NCERT Exercise 3.1 | Class 10 Maths CBSE Exercise 3.1 | Class 10 Maths UP Board Exercise 3.1| Class 10 Maths Pair of Linear Equations in Two Variables Introduction |
Indefinite Integrals - Simplification of Integral
linear equations in two variables class 10 ||All Formulas of LINEAR EQUATIONS ||#short#shortfeed
linear equations in two variables class 10 ||All Formulas of LINEAR EQUATIONS ||#short#shortfeed
10 th Maharashtra board Mathematics I, Quadratic Equations by the formula method, Quadratic equations kaise solve kare
Indefinite Integrals - Logarithmic substitution
Indefinite Integrals - Simplification of factors
Indefinite Integrals - Trignometric half angles substitution
Buy Now on CodeCanyon