Surprise Me!
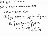
Application of Derivatives - Increasing and decreasing Functions
2011-08-18
159
Dailymotion
Application of Derivatives, Increasing and decreasing Functions
Please enable JavaScript to view the
comments powered by Disqus.
Related Videos
Application of Derivatives - Increasing and decreasing Functions -II
Application of Derivatives - Increasing and decreasing Functions -IV
Application of Derivatives - Increasing and decreasing Functions -III
(Application of Derivatives) - Increasing and decreasing function
(Application of Derivatives) - Decreasing function
FSc Math Book2, Ch 2, LEC 26: Increasing and Decreasing Functions
Test Increasing-Decreasing, local Max and Min by First Derivative
Monotonic Functions - increasing, decreasing or constant on an interval 1
Calculus I - Increasing/Decreasing Functions and the 1st Derivative (with Example 1)
Application of Derivatives - Application of Derivatives
Buy Now on CodeCanyon