Surprise Me!
Definite Integrals - Integrate to get an unknown function & then integrate by parts
2011-08-18
3
Dailymotion
Practice questions for Definite Integrals
Please enable JavaScript to view the
comments powered by Disqus.
Related Videos
Definite Integrals - Open up 'gif' function inside integrals
Definite Integrals - Definite Integration using property - 1
Definite Integrals - Apply definite integration
Definite Integrals - Definite Integration using property - 2
Integration - Definite Integrals
Integration - Properties of Definite Integrals
Integration - Properties of Definite Integrals
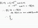
Definite Integrals - Odd or even function
Integration - Evaluation of Definite Integrals by Substitution
Integration - Definite Integrals
Buy Now on CodeCanyon