Surprise Me!
Calculus Derivatives Constants Rules Introduction
2011-12-07
85
Dailymotion
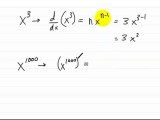
This video shows teaches you about how take the derivative of a constant
Please enable JavaScript to view the
comments powered by Disqus.
Related Videos
Differential Calculus (Differentiation) - Expression of derivatives in terms of x and y
Differential Calculus (Differentiation) - Using Binomial Theorem in derivatives
Calculus I - Derivatives - Product Rule - Example 2
Calculus I - Derivatives - Another Proof of the Power Rule (for all real exponents)
Calculus Derivatives Product Rule Part 2
Calculus I - Derivatives - Quotient Rule - Proof
Calculus I - Derivatives - Quotient Rule - Example 3
Calculus I - Derivatives - Power Rule (real exponents) - Example 3
Calculus Derivatives Product Rule Introduction
Calculus Derivatives Power Rule Part 2
Buy Now on CodeCanyon